| Sign In | Join Free | My carsrow.com |
|
Place of Origin : China
Brand Name : JSD
Certification : CE
Model Number : 4-20mA/0-10V/0-5V/0-75mV to RS232/RS485 A/D converter
MOQ : 3 PCS
Price : USD 56
Packaging Details : STANDARD PACKING
Delivery Time : 2 WORKDAYS
Payment Terms : TT/PAYPAL, Western Union
Supply Ability : 500000/MONTH
accuracy : >0.1%
size : 115mmX100mmX23mm
testing accuracy : >0.1%
Wide operating power supply : 8~32VDC
high isolation voltage : 3000VDC /60s
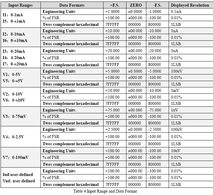
input signal : 4-20mA/0-10V/0-5V/1-5V/0-75mV/0-±10V etc.
interface output : RS232/RS485
communication protocol : ASCII code or MODBUS RTU
high accuracy analog signal to RS485/RS232 A/D converter Features and Applications:
● Analog signal acquisition, isolated RS-485/232 output
● 12-bit AD converter, testing accuracy>0.1%
● Can be remotely reconfigured for modules accuracy by RS-485/232 Interface
● Three-port isolation (input/output/power supply): 3000VDC /60s
● Wide operating power supply: 8~32VDC
● High reliability, easy programming and installation
● International standard DIN35mm rail mounting for easy centralized wiring
● Can Program setting module address, baud rate , etc.
● Supports Modbus RTU
● Low cost, small size modular design
● Analog signal testing/monitoring/control
● RS-485 remote I / O, data acquisition
● Intelligent building control, security engineering and other applications
● RS-232/485 industrial automation control system
● Industrial field signal isolation and long-term transmission
● Monitoring equipment operation
● sensor signal measurement
● Industrial data acquisition and recording
● medical, industrial product development
● 4-20mA/0-5V or 1-5V signal acquisition
high accuracy single-channel analog signal to RS485/RS232 A/D converter(4-20mA/0-10V/0-5V to RS232/RS485 A/D converter) Product Selection:
Sample 1: Model: JSD AD11-I4-485 4-20mA input,RS485 interface output
Sample 2:Model :JSD AD11-V2-232 0-10V input, RS-232 interface output
Sample 3:Model :JSD AD11-V1-485 0-5V input, RS-485 interface output
Sample 4:Model :JSD AD11-V3-232 0-75mV input, RS-232 interface output
JSD AD11–V(I) □ – □
Input Voltage or Current Signal Interface
V1:0-5V 485: output is RS-485 interface
V2:0-10V 232: output is RS-232 interface
V3:0-75mV
V4:0-2.5V
V5:0-±5V
V6:0-±10V
V7:0-±100mV
Vud:user-defined
current/voltage signal to RS485/RS232 A/D converter General Description:
JSD AD11 series products realize the signal acquisition between sensor and host, to measure analog signals. JSD AD11 series products can be applied to RS-232/485 bus industrial automation control system, 4-20mA / 0-5V signal measurement, monitoring and controlling, 0-75mV, 0-100mV and other small-signals measurement and signals isolation and long-term industrial transmission and so on. Products include power supply isolation, signal isolation, linearization, A/D conversion and RS-485 serial communication. Each serial interface can connect up to 255 pieces JSD AD11 Series modules, communication using ASCII code or MODBUS RTU communication protocol, and its instruction set compatible with the ADAM modules, baud rate can be set by the code, with other manufacturers control module hang in the same RS-485 bus for easy programming
JSD AD11 series is based on SCM intelligent monitoring and control system, all of the users set configuration information such as Calibration value, address, baud rate, data format, checksum and status are stored in non-volatile memory EEPROM.
JSD AD11 series products according to industry standard design and manufacture .They are three-port isolation(input, output and power supply),and the isolation voltage between them is up to 3000 VDC, JSD AD11 series products have better Anti-interference ability, high reliability and wide operating Temperature Range (- 45℃~+85℃.)
A/D converter General parameters:
(typical @ +25 ℃, V s to 24VDC)
Input type: current / voltage input
Accuracy: 0.1%
Temperature drift:± 30 ppm / ℃ (± 50 ppm / ℃ max)
Input Resistance: 50Ω (4-20mA/0-20mA/0- ± 20mA current input)
100Ω (0-10mA/0- ± 10mA current input)
1KΩ (0-1mA/0- ± 1mA current input)
>1MΩ(voltage input)
Bandwidth: -3 dB 10 Hz
Conversion rate: 10 Sps
Common Mode Rejection (CMR): 120 dB (1kΩ Source Imbalance @ 50/60 Hz)
Normal Mode Rejection (NMR): 60 dB (1kΩ Source Imbalance @ 50/60 Hz)
Input Protection: over-voltage protection, over-current protection
Communication: RS-485 protocol or RS-232 , standard characters protocols and MODBUS RTU communication protocol
Baud Rate (1200,2400,4800,9600,19200,38400 bps) can be selected via software
Address (0 to 255) can be selected via software
Communication Response Time: 100 ms maximum
Power Supply: +8 ~ 32VDC wide range power supply, internal anti-reverse and over-voltage protection circuit
Power Loss: less than 1W
Operating Temperature: - 45~+80 ℃
Operating Humidity: 10 ~ 90% (no condensation)
Storage Temperature: - 45~+80 ℃
Storage Humidity: 10 ~ 95% (no condensation)
Isolation Voltage: input / output: 3KVDC/1 minute, leakage current:1mA
Which output signal and power supply are common ground.
Shock Voltage: 3KVAC, 1.2/50us (peak)

Notes:
1,NC" pin must not be connected to any external circuit, otherwise it will damage the product itself;
2,Please read the user manual carefully before using. If any question please contact our technical support department.
3,Please do not use this product in hazardous area. The power supply of this product should be 24VDC power source. It is forbidden to use 220VAC power supply.
4,Calculating from the date of delivery, during normal use of the product, any quality problems are free repair or replacement by Company during 3 years warranty,
5,the product is strictly forbidden demolish without permission for not damage
6,All specifications measured at Ta=25°C, humidity<75%, nominal input voltage and rated output load unless otherwise specified.
7,In this datasheet, all the test methods of indications are based on corporate standards.
Dimensions: 115 mm x 100 mm x 23mm
A/D converter product picture and Dimensions:

|
|
high accuracy single-channel analog signal to RS485/RS232 A/D converter(4-20mA/0-10V/0-5V to RS232/RS485 A/D converter) Images |